金漢國際紅麴製造廠
微小世界
搜尋
Sidebar
×
微小世界
產品展售
產品介紹
產品列表
釀製品
食料品
麴菌類
麴作者
購物車
訊息台
廠內操作文件
文獻與工藝
產品紀錄
微小世界
產品展售
產品介紹
產品列表
釀製品
食料品
麴菌類
麴作者
購物車
訊息台
廠內操作文件
文獻與工藝
產品紀錄
產品記錄
操作紀錄影像
批次檢驗報告(市售)
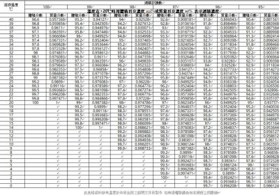
酒度測量標準
加入我們的經銷行列?
與我連繫